Contoh Soal Pemaparan Jati Diri
Setelah mengikuti pembelajaran tentang jati dirip eserta didik dapat menganalisis teks lisan dan tulis sederhana tentang pemaparan jati diri untuk melaksanakan komunikasi interpersonal dan transaksional dengan guru dan teman menggunakan ungkapan dengan struktur teks yang runtut unsur kebahasaan yang benar dan sesuai konteks secara jujur disiplin percaya diri dan bertanggung jawab. Admin blog Contoh Soal Terbaru 2019 juga mengumpulkan gambar-gambar lainnya terkait contoh soal bahasa inggris tentang pemaparan jati diri dibawah ini.
Doc Jati Diri Ok Eneng Gladish Academia Edu
120 contoh report text bahasa inggris terbaru beserta artinya.
Contoh soal pemaparan jati diri. Is this seat empty. Berikut informasi sepenuhnya tentang contoh soal bahasa inggris tentang pemaparan jati diri. Siswa menerima pembagian contoh teks yang berkaitan dengan pemaparan jati diri.
Materi Contoh Percakapan Contoh Teks dan Contoh Soal Pemaparan Jati Diri - Materi Bahasa Inggris Kelas 10. Jenjang Pendidikan SMK Mata Pelajaran Bahasa Inggris Kurikulum 2013 Revisi Kelas X Jumlah Soal 45 Bentuk Soal Pilihan Ganda dan Uraian NO KOMPETENSI DASAR KELAS MATERI CAKUPAN INDIKATOR LEVEL NO SOAL BENTUK SMSTR MATERI SOAL KOGNITIF SOAL 1 31 Menganalisis fungsi sosial X 1 aMenganalisa teks Fungsi sosial IDisajikan struktur teks dan unsur teks introduction kebahasaan teks. Good morning let me introduce myself.
5 Contoh Introduction Teks Dan Cara Perkenalan Diri Dalam Bahasa Inggris Beserta Artinya Memperkenalkan diri adalah salah satu sarana untuk mendekatkan antar sesama individu. 41 Menangkap makna pemaparan jati diri lisan dan tulis 42 Menyusun teks lisan dan tulis untuk memaparkan menanyakan dan merespon pemaparan jati diri dengan memperhatikan fungsi sosial struktur teks dan unsur kebahasaan yang benar dan sesuai konteks. - Dengan bimbingan dan arahan guru siswa mengidentifikasikan ungkapan pemaparan jati diri dengan rasa percaya diri dan bertanggung jawab yang mana dengan menjawab soal berbentuk Statement True Or False yang diberikan sesuai halaman 55.
Its nice to meet you. Berikut adalah contoh rpp bahasa inggris kelas 7 semester 1 tentang jati diri. Contoh Teks Perkenalan Diri dalam Bahasa Inggris Beserta Artinya Terbaru Oke buat sahabat SBI yang super.
Melakukan monolog tentang pemaparan jati diri dengan percaya diri. My name is Sinta I am Monty This is my friend Jojo I am a student You are a teacher He is a principal They are students. Im the only child in my family.
Kali ini saya memberikan contoh teks perkenalan diri dalam Bahasa inggris. Halo nama saya Jane. 31 Menganalisis fungsi sosial struktur teks dan unsur kebahasaan pada teks pemaparan jati diri sesuai dengan konteks penggunaannya 41 Menangkap makna pemaparan jati diri lisan dan tulis 42 Menyusun teks lisan dan tulis untuk memaparkan menanyakan dan merespon pemaparan jati diri dengan memperhatikan fungsi sosial struktur teks dan unsur kebahasaan yang benar dan sesuai konteks.
The world Service started in 1935 in order to provide news for Britains colonies overseas. Soal bahasa inggris tentang pemaparan jati diri berikut ini adalah file dan info tentang soal bahasa inggris tentang pemaparan jati diri yang bisa anda unduh secara gratis dengan menekan tombol download. Kita biasanya akan menggunakan percakapan mengenai jati diri saat pertama kali bertemu atau kenalan dengan seseorang.
Senang berjumpa dengan anda Fonda. My name is Edison Sujono. Im 32 and I come from England.
Menyunting teks tulis tentang pemaparan jati diri berdasarkan fungsi sosial struktur teks dan unsur kebahasaan yang benar dan sesuai konteks. Melengkapi teks percakapan tentang pemaparan jati diri melibatkan cara untuk memaparkan menanyakan dan merespon secara benar. Contoh rpp 2013 sma pemaparan jati diri rencana pelaksanaan pembelajaran.
Please take a seat. I live in. I work in Denpasar High School as an English teacher.
The name BBC is short British Broadcasting Corporation. My name is Edward but everyone calls me Eddie. Its headquarters in Bush House a large building.
Contoh pemaparan jati diri. I spend my leisure time surfing and sometimes painting. Contoh Percakapan Dalam Bahasa Inggris Tentang Jati Diri Salah satu hal dasar yang cukup penting untuk mempelajari bahasa Inggris yaitu percakapan tentang jati diri atau identitas.
Siswa menanyakan tentang cara memaparkan jati diri. Rpp Bahasa Inggris Kelas 8 Kurikulum 2013 Terbaru Chapter. Siswa membentuk kelompok yang beranggotakan 5 orang.
200 contoh soal bahasa inggris lengkap dengan kunci jawaban dan pembahasan. Contoh Soal Greeting and Introduction dan jawabannya Sedangkan untuk soal tentang introduction beberapa ekspresi yang dapat digunakan dalam memperkenalkan diri introduction maupun orang lain antara lain. Senang berjumpa dengan anda David.
Hello my name is Jane. Its really nice to meet you too. One of the best known international radio services is the BBC World Service.
Menemukan berbagai macam pemaparan jati diri dari berbagai sumber dalam konteks dan situasi yang berbeda dengan sungguh-sungguh. Contoh Soal Bahasa Inggris UTS SMA Kelas X Bahasa Inggris Text 2. SOAL LISTENING Diperdengarkan sebuah percakapan sederhana yang mengandung ungkapan pemaparan jati diri serta responnya peserta didik dapat menentukan topik dari isi percakapan tersebut.
In total the plant has need of at least 16 elements of which the most important are carbon hydrogen oxygen nitrogen phosphorus sulfur potassium calcium and magnesium. 312 Mengidentifikasi struktur teks tentang jati diri secara benar. 313 Mengidentifikasi unsur kebahasaan yang digunakan dalam teks tentang jati diri secara benar.
Hi my names David Martin and I usually go by Dave. Siswa menggarisbawahi kata-kata yang menerangkan jati diri. Continue reading Contoh Percakapan Pemaparan Jati Diri.
Right now I live in Denpasar. I saw you sitting here alone.
Contoh Soal Bahasa Inggris Tentang Pemaparan Jati Diri Dapatkan Contoh
Contoh Modul Jati Diri Contoh Ilb Cute766
Contoh Soal Bahasa Inggris Tentang Pemaparan Jati Diri Contoh Soal Terbaru
Contoh Teks Pemaparan Jati Diri Dalam Bahasa Inggris Berbagai Teks Penting
Contoh Soal Bahasa Inggris Tentang Pemaparan Jati Diri Dapatkan Contoh Cute766
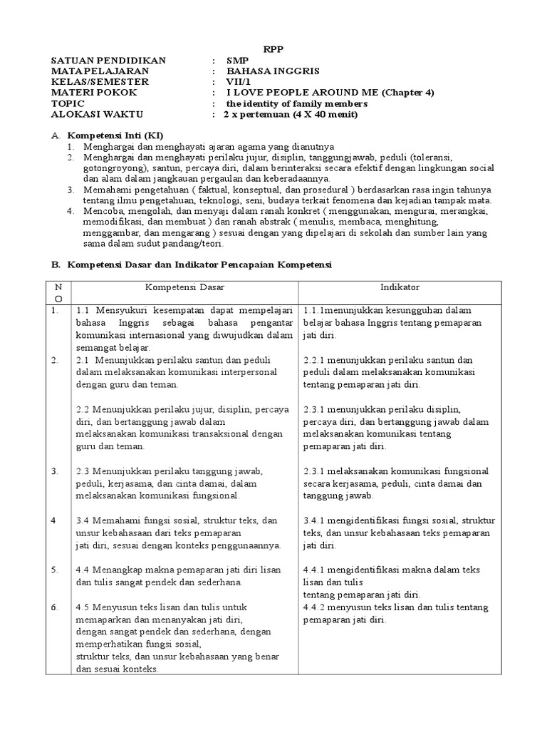
Rpp Pemaparan Jati Diri Kurikulum 2013
Patchwork Ponderings Kisi Kisi Soal Bahasa Inggris Sma Kelas X Semester 2 Added By Users Showing 1 1 Of 1
Doc Paket I Contoh Soal Dan Pembahasannya Bahasa Inggris Smp Mts Muhammad Kusuma Academia Edu

Posting Komentar untuk "Contoh Soal Pemaparan Jati Diri"